Descubre la Teoría de los Límites: Todo lo que necesitas saber
¿Te has preguntado alguna vez cuál es el límite de tus posibilidades? La Teoría de los límites tiene la respuesta y nosotros te la vamos a contar. Descubre cómo esta teoría puede ayudarte a superar tus obstáculos y alcanzar tus metas más ambiciosas. Prepárate para expandir tus horizontes y romper todas las barreras que te limitan. ¡No te pierdas esta teoría que cambiará tu forma de pensar para siempre!

Teoremas de límites: ejemplos y explicación completa
La teoría de los límites es una parte fundamental del cálculo y se utiliza para encontrar la tendencia de una función a medida que su variable independiente se acerca a un valor determinado. Hay varios teoremas de límites que son útiles para simplificar el cálculo de los límites de funciones complejas.
Teorema del límite básico
El teorema del límite básico establece que si una función f(x) tiende a un límite L cuando x tiende a a, entonces la suma de f(x) y g(x) también tiende a L cuando x tiende a a, siempre y cuando g(x) tenga un límite finito en a.
Por ejemplo, si queremos encontrar el límite de la función f(x) = (x^2 – 4) / (x – 2) cuando x tiende a 2, podemos utilizar el teorema del límite básico. Podemos factorizar la función para obtener f(x) = (x – 2) (x + 2) / (x – 2). Al cancelar los términos comunes, obtenemos f(x) = x + 2. Entonces, podemos decir que lim x->2 f(x) = lim x->2 (x + 2) = 4.
Teorema del límite del producto
El teorema del límite del producto establece que si dos funciones f(x) y g(x) tienen límites finitos L y M respectivamente, cuando x tiende a a, entonces su producto f(x)g(x) también tiene un límite finito, que es igual a L x M.
Por ejemplo, si queremos encontrar el límite de la función f(x) = x^2 cuando x tiende a 3, podemos utilizar el teorema del límite del producto. Podemos escribir la función como f(x) = x x. Entonces, lim x->3 f(x) = lim x->3 (x x) = (lim x->3 x) (lim x->3 x) = 3 x 3 = 9.
Teorema del límite de la división
El teorema del límite de la división establece que si dos funciones f(x) y g(x) tienen límites finitos L y M respectivamente, cuando x tiende a a y M no es igual a 0, entonces su división f(x) / g(x) también tiene un límite finito, que es igual a L / M.
Por ejemplo, si queremos encontrar el límite de la función f(x) = (x^2 – 1) / (x – 1) cuando x tiende a 1, podemos utilizar el teorema del límite de la división. Podemos factorizar la función para obtener f(x) = (x + 1) (x – 1) / (x – 1). Al cancelar los términos comunes,

Definición de límite: Todo lo que debes saber
Definición de límite: Todo lo que debes saber
La teoría de los límites es una rama de las matemáticas que estudia el comportamiento de una función cuando la variable independiente se acerca a un valor determinado. El límite de una función es el valor al que tiende la función cuando la variable independiente se acerca a un valor determinado, sin que necesariamente llegue a alcanzarlo.
Conceptos clave en la teoría de límites:
- Variable independiente: Es aquella que se puede cambiar a voluntad en una ecuación o función matemática.
- Variable dependiente: Es aquella que depende de la variable independiente en una ecuación o función matemática.
- Función: Es una relación matemática entre dos variables que asigna a cada valor de la variable independiente un valor único de la variable dependiente.
- Límite: Es el valor al que tiende la función cuando la variable independiente se acerca a un valor determinado, sin que necesariamente llegue a alcanzarlo.
Cómo se calcula un límite:
Para calcular el límite de una función, es necesario evaluar la función a medida que la variable independiente se acerca al valor al que se quiere calcular el límite. Si la función se acerca a un valor finito cuando la variable independiente se acerca a ese valor, entonces ese valor es el límite de la función en ese punto. Si la función no se acerca a un valor finito, entonces el límite no existe.
Ejemplo de cálculo de límite:
Consideremos la función f(x) = (x^2 – 1)/(x – 1). Si queremos calcular el límite de la función cuando x tiende a 1, podemos evaluar la función para valores de x que se acerquen a 1 por ambos lados:
- Cuando x se acerca a 1 por la izquierda, es decir, cuando x toma valores menores que 1, la función toma valores cercanos a 2.
- Cuando x se acerca a 1 por la derecha, es decir, cuando x toma valores mayores que 1, la función toma valores cercanos a 2.
Por lo tanto, podemos concluir que el límite de la función cuando x tiende a 1 es 2.
Conclusiones:
El límite de una función representa el valor al que tiende la función cuando la variable independiente se acerca a un valor determinado, y se calcula evaluando la función a medida que la variable independiente se acerca a ese valor.

Tipos de límites: Guía completa
La teoría de límites es una rama importante de las matemáticas que se centra en el estudio del comportamiento de una función cuando su argumento se acerca a cierto valor. En este artículo, exploraremos los diferentes tipos de límites y cómo calcularlos.
Límites finitos
Un límite finito se produce cuando la función se acerca a un valor fijo a medida que su argumento se acerca a un valor determinado. En otras palabras, el valor de la función se aproxima cada vez más al mismo número a medida que el argumento se acerca a un valor particular. Por ejemplo, el límite de la función f(x) = x + 2 cuando x se acerca a 3 es 5, ya que la función se aproxima a 5 a medida que x se acerca a 3.
Límites infinitos
Un límite infinito se produce cuando la función se acerca a un valor que es infinitamente grande o infinitamente pequeño a medida que su argumento se acerca a un valor determinado. Por ejemplo, el límite de la función f(x) = 1/x cuando x se acerca a cero es infinito, ya que la función se acerca a infinito a medida que x se acerca a cero.
Límites laterales
Los límites laterales se utilizan cuando la función tiene diferentes valores a la izquierda y a la derecha del valor al que se acerca su argumento. En otras palabras, la función puede tener un límite diferente según el lado desde el que se aproxime el argumento. Por ejemplo, el límite de la función f(x) = 1/x cuando x se acerca a cero desde la izquierda es infinito negativo, mientras que cuando se acerca desde la derecha es infinito positivo.
Límites trigonométricos
Los límites trigonométricos se utilizan para calcular límites de funciones que contienen funciones trigonométricas como seno, coseno o tangente. Por ejemplo, el límite de la función f(x) = sen(x)/x cuando x se acerca a cero es 1, ya que la función se aproxima a 1 a medida que x se acerca a cero.
Límites exponenciales y logarítmicos
Los límites exponenciales y logarítmicos se utilizan para calcular límites de funciones que contienen funciones exponenciales o logarítmicas. Por ejemplo, el límite de la función f(x) = (e^x – 1)/x cuando x se acerca a cero es 1, ya que la función se aproxima a 1 a medida que x se acerca a cero.
Límites indeterminados
Los límites indeterminados se producen cuando no se puede determinar el límite de una función utilizando los métodos anteriores. Por ejemplo, el límite de la función f(x) = x/x cuando x se acerca a cero es un límite indeterminado, ya que tanto el numerador como el denominador se aproximan a cero.
Domina el límite de funciones con esta guía explicativa
La teoría de los límites es un concepto fundamental en matemáticas y especialmente en cálculo. Aprender a dominar los límites es esencial para entender muchas otras áreas de las matemáticas, así como para aplicarlas en la física, la ingeniería y otras disciplinas. En este artículo, te explicaré todo lo que necesitas saber sobre los límites de funciones.
¿Qué es un límite?
Un límite es un valor al que se acerca una función a medida que la variable independiente se acerca a un determinado valor. En otras palabras, el límite es el valor al que se acerca la función, pero no necesariamente el valor que toma la función en ese punto.
¿Por qué son importantes los límites?
Los límites son importantes porque permiten definir conceptos como continuidad, derivadas e integrales. Estos conceptos son fundamentales en muchos campos de la matemática, así como en la física y la ingeniería. Además, los límites son útiles para entender el comportamiento de las funciones en puntos críticos y para resolver problemas en la vida real.
Cómo calcular límites
Calcular límites puede ser complicado, pero hay varias técnicas que pueden ayudarte a hacerlo. Uno de los métodos más comunes es la sustitución directa, que consiste en sustituir el valor de la variable independiente en la función y evaluar el resultado. Sin embargo, este método solo funciona si la función es continua en ese punto.
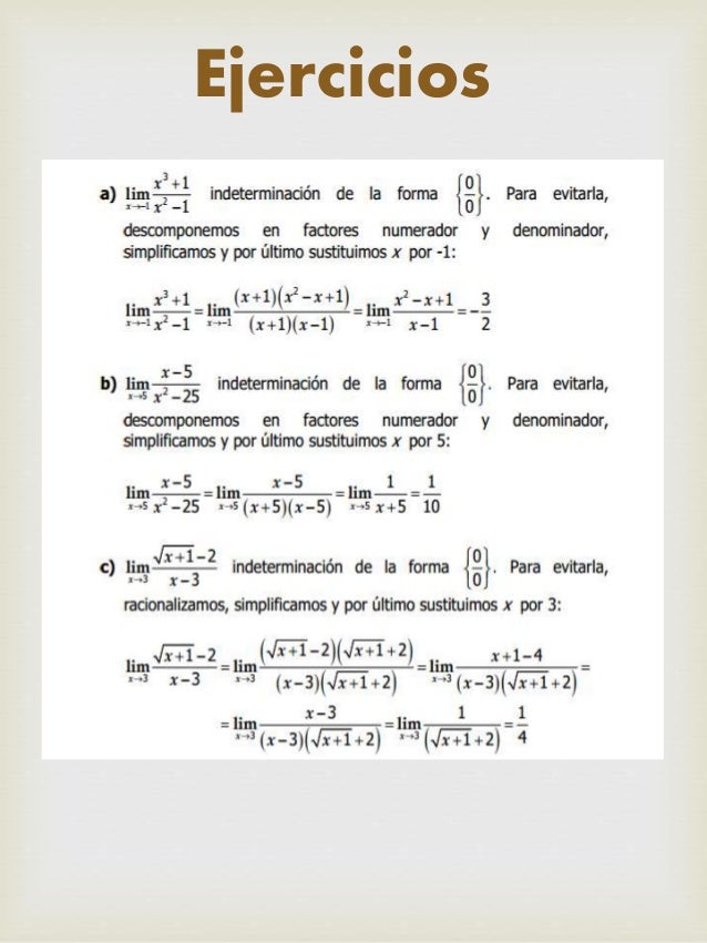
Otro método es la factorización, que consiste en factorizar la función y cancelar términos comunes. Este método es útil para funciones que contienen términos racionales.
El método del sandwich es otro método útil para calcular límites. Este método se utiliza cuando una función está atrapada entre dos funciones conocidas y cuyos límites son iguales. En este caso, la función desconocida también tendrá ese mismo límite.
la teoría de los límites nos demuestra que todo tiene un límite en la vida, ya sea en la naturaleza, en las relaciones personales o en el ámbito laboral. Saber identificar y respetar estos límites es clave para tener una vida equilibrada y satisfactoria. Recordemos siempre que, aunque los límites pueden ser desafiantes, también nos permiten crecer y aprender.
Este contenido también puede ser encontrado cuando buscas Teoria de los limites

Carmen García es antropóloga social y cultural con experiencia en investigación etnográfica en América Latina y África. Sus principales intereses de investigación incluyen las culturas indígenas, la identidad cultural, la migración y el género.
También te puede interesar

La Teoría de Skinner y su impacto en el desarrollo del lenguaje

Descubre la Teoría de Señalización: Cómo Comunicar de Forma Efectiva

Descubre la Teoría de los Seres Vivos: La Clave para Entender la Vida

Guía completa de teoría de corte de cabello para hombres

Emily Watson: La actriz detrás de la conmovedora película ‘La Teoría del Todo’

La Teoría del Comercio Internacional de Adam Smith: Descubre sus Principios
2 Comentarios
Los comentarios están cerrados.
¡Vaya! Nunca pensé que los límites fueran tan interesantes. Definitivamente voy a repasar mis apuntes.
¡Increíble cómo los límites pueden resolver problemas tan complejos! ¡La magia de las matemáticas!